Contenuto della tabella
Che cos'è la significatività statistica?
La significatività statistica indica se i risultati di un sondaggio o di un esperimento sono genuini e fattuali anziché frutto del caso. Aiuta i ricercatori e le imprese a determinare l'affidabilità dei loro dati.
Ad esempio, se un team di marketing scopre che il 55% dei clienti preferisce il sorbetto al lime rispetto a quello all'ananas con un livello di significatività del 95%, ciò suggerisce che i risultati sono affidabili e non sono casuali.
Perché è importante la significatività statistica?
Comprendere la significatività statistica è cruciale per prendere decisioni informate. Aiuta le aziende a convalidare le strategie di marketing, a costruire fiducia e affidabilità nella ricerca, a prendere decisioni basate sui dati e a ridurre l'incertezza nei risultati dei sondaggi.
Come si calcola la significatività statistica?
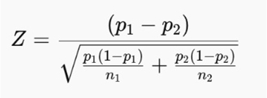
Per determinare la significatività statistica dei tuoi dati, utilizza la seguente formula:

Ora, vediamo queste variabili:
- p1 e p2 sono le proporzioni di successo in due gruppi diversi
- n1 e n2 sono le dimensioni del campione di ciascun gruppo
- Z misura quanti deviazioni standard la differenza osservata è dalla media
- Il valore di p è derivato da Z e determina la significatività dei risultati
Il valore p viene quindi confrontato con un livello di significatività (tipicamente 0.05 per un livello di confidenza del 95%). Se il valore p è inferiore al livello di significatività, la differenza è considerata statisticamente significativa.
Prova ora il nostro calcolatore di significatività statistica!
Il ruolo dei livelli di confidenza nella significatività statistica
Quando si calcola la significatività statistica, i livelli di confidenza svolgono un ruolo fondamentale: indicano la probabilità che l'effetto osservato sia reale. I livelli di confidenza comuni includono:
| Livello di Confidenza | Valore Z |
|---|---|
| 90% | 1.64 |
| 95% | 1.96 |
| 99% | 2.58 |
Livelli di confidenza più elevati forniscono una maggiore certezza, ma richiedono campioni più grandi. Ad esempio, uno studio condotto con un livello di confidenza del 90% potrebbe richiedere 500 partecipanti, ma il ricercatore dovrà intervistare 1.000 partecipanti per aumentare il livello di confidenza al 99%.
Un esempio di calcolo della significatività statistica
Immagina che la tua azienda di sorbetti stia testando due diversi design di pagine di destinazione per determinare quale sia più efficace nel far iscrivere le persone alla newsletter.
- La Pagina A ha un tasso di conversione del 12%, il che significa che su 1.000 visitatori, 120 si sono iscritti alla newsletter.
- La Pagina B ha un tasso di conversione del 15%, il che significa che su 1.000 visitatori, 150 hanno completato la stessa azione.
A prima vista, la Pagina B sembra avere prestazioni migliori, ma questa differenza è per caso o è statisticamente significativa?
Per rispondere a questa domanda, l'azienda deve calcolare la significatività statistica.

Una volta che il team conosce il valore p, può confrontarlo con il livello di confidenza desiderato. Se vogliono un livello di confidenza del 95%, il valore p deve essere inferiore a 0.05 per essere statisticamente significativo. Ciò significa che il miglioramento nelle conversioni è probabilmente reale piuttosto che una variazione casuale.
Tuttavia, se il valore p è superiore a 0.05, la differenza osservata potrebbe essere dovuta al caso e potrebbero essere necessari ulteriori test con un campione più grande per confermare il risultato.
Grazie ai test di significatività statistica, l'azienda può scegliere con fiducia la pagina con prestazioni migliori per ottimizzare le iscrizioni alla newsletter.
Come la significatività statistica influisce sui risultati dei sondaggi
I risultati dei sondaggi che raggiungono la significatività statistica indicano differenze significative tra i rispondenti, aiutando ricercatori e aziende a confermare la validità dei loro dati e a instillare maggiore fiducia. Questo è utile per:
- Test A/B nel marketing
- Sondaggi sulla soddisfazione del cliente
- Sondaggio elettorale
- Studi sulle preferenze dei prodotti
Come migliorare la significatività statistica
Un punteggio di significatività statistica più elevato riduce la probabilità che i risultati siano dovuti al caso, rendendo la ricerca più credibile e impattante. Se è necessario migliorare un punteggio di significatività statistica, sia per aumentare l'affidabilità dei risultati che per garantire che le decisioni basate sui dati siano fondate su risultati significativi, esistono diversi modi per progettare il prossimo test.
I punteggi di significatività statistica possono essere migliorati:
- Aumentando la dimensione del campione
- Riducendo la variabilità nella raccolta dei dati
- Utilizzando un livello di confidenza più elevato per una maggiore affidabilità
- Formulando domande chiare e imparziali durante il processo di creazione del sondaggio
La significatività statistica è un fattore chiave per determinare se i risultati dei sondaggi sono affidabili. Con la giusta metodologia e dimensione del campione, aziende e ricercatori possono prendere decisioni basate sui dati con fiducia.
Prova oggi il nostro Calcolatore di Significatività Statistica gratuitamente per convalidare i tuoi risultati!
Crea il tuo primo sondaggio ora!
È facile come spremere un lime.
- Crea sondaggi in oltre 40 lingue
- Numero illimitato di utenti
- Oltre 800 modelli di sondaggio pronti all'uso
- E tanto altro...